上海滬工閥門廠(集團)有限公司
摘要:通過對鉆井泵閥疲勞壽命的研究,進一步闡明泵閥失效的主要機理。利用 ANSYS/LS—DYNA 軟件構建泵閥三維實體模型,模擬閥盤沖擊閥座的過程,得到閥盤受力分布圖,據此分析脈動循環應力對泵閥疲勞破壞的影響。該分析著重考慮了在交變載荷作用下應力集中對加速泵閥失效所帶來的危害性,完善了泵閥的無沖擊理論。依據泵閥疲勞壽命曲線,對泵閥使用壽命進行估算,并提出一種泵閥結構改進的新方案,在一定程度上有效減緩了應力集中,對延長泵閥使用壽命具有重要的實用價值。
關鍵詞:鉆井泵閥;脈動循環應力;應力集中;疲勞壽命
泵閥是鉆井泵的關鍵部件和易損件之一,其設計好壞直接影響到泵的工作性能和使用壽命。一方面,要提高泵閥接觸表面耐沖蝕的能力,就必然要增加接觸面的表面硬度,而硬度過高又會削弱耐沖擊的性能。另一方面,要提高材料抗沖擊載荷的能力,就必須保證材料有較高的韌性,相應的硬度又會受影響。此外,盡管泵閥的綜合性能好,但在不同工況條件下,各種性能并不會同時發揮作用,且泵閥的加工成本也會相應提高。因此,研究泵閥的失效機理對泵閥的設計制造具有重要的指導作用。
一般而言,造成鉆井泵閥失效的原因有沖擊疲勞破壞和沖蝕磨礪磨損(液力磨礪性磨損)兩種。然而通過對礦場報廢的鉆井泵閥宏觀和微觀形貌分析表明,沖擊疲勞破壞是泵閥失效的主要機理,因此在泵閥設計時,要重點考慮泵閥材料的抗沖擊疲勞性能及由零件的局部應力狀態確定的疲勞強度。
本文依據泵閥在關閉階段的簡化模型和泵閥沖擊過程的有限元動力學模型,重點研究泵閥沖擊時,閥盤與閥座接觸面上產生應力集中部位的受力形式及程度,并通過泵閥疲勞壽命曲線對最大應力區進行疲勞校核,從而估算泵閥的使用壽命。根據疲勞壽命曲線,以泵閥最弱區為對象,通過改進泵閥的結構以降低峰值應力,為高效地利用泵閥提出可行性方案。
1 泵閥應力分析
隨著活塞的往復運動,閥盤對閥座產生間歇沖擊,泵閥承受沖擊載荷。接觸面上應力由閉合瞬間到產生最大應力再到泵閥開啟時刻,如此循環沖擊,可以認定泵閥承受脈動循環應力。
在泵閥關閉階段的簡化模型中,假定在很小的滯后高度內,閥盤受力不變,勻加速向下運動,直至關閉。根據此模型求出泵閥關閉時刻閥盤的速度和加速度。
文獻中以油田大量使用的 7# 閥為例,選取錐角為 45°(錐角為錐閥母線與軸線之間的夾角),設定閥開啟時曲柄轉角φ=25°,沖次為 120 次/min,泵壓為 15MPa,在曲柄轉角φ=25°~180°之間,對鉆井泵閥阿道爾夫精確微分方程進行數值仿真,得到閥盤的滯后高度為 0.0056m,在此處的速度為﹣0.4067m/s2。利用簡化模型,可求出泵閥關閉時刻閥盤的速度為﹣19.3676m/s,加速度為﹣33476.65m/s2。
以簡化模型得到的關閉時刻閥盤的速度和加速度作為運動邊界條件,利用 ANSYS/LS—DYNA 軟件構建泵閥的三維模型,模擬閥盤沖擊閥座的過程。按泵閥的實際尺寸建立泵閥整體模型,省略密封圈,根據鉆并泵閥實際工況設置材料屬性及幾何約束條件,采用 8 結點六面體單元進行網格化劃分,建立模型,剖視圖如圖 l 所示。

圖 1 泵閥三維模型剖視圖
應用動力學理論分析處理碰撞、滑動接觸界面問題,得到錐角 45 °、7 #閥閥盤在閉合階段產生最大局部應力時的應力分布圖,如圖 2。

圖 2 閥盤應力分布圖
由圖 2 得到閥盤在沖擊閥座的過程中,產生的最大局部集中應力為 0.955×109Pa,從而可知泵閥錐面下端應力集中區域承受的脈動循環載荷 0.955×109Pa,周期為 0.5s(泵閥的沖次為 120 次/min),如圖 3。

圖 3 錐面下端應力集中區域受力形式
在脈動循環應力作用下,錐面下端應力集中區域更易形成疲勞裂紋,使泵閥的疲勞強度顯著降低,這一點與閥座失效的宏觀形貌中錐面下部發生嚴重塑性變形的現象完全吻合?梢,泵閥沖擊時應力集中引起的沖擊疲勞是泵閥失效的主要原因。
本文采用三維幾何實體模型代替文獻中的二維平面模型,將各種類型動力載荷施加到結構模型的特定受載部分,模擬真實碰撞過程。利用 ANSY/LS—DYNA 軟件有限元顯式非線性動力分析求解程序,計算得到更加精確的應力解,并且對應力分布的方位有更加直觀的認識。
2 泵閥材料的S-N曲線
鉆井泵閥的制造材料廣泛采用40Cr鋼,40Cr鋼屬低合金中碳結構鋼,經調質處理后,具有可塑性好、疲勞強度高、缺口敏感性低、低溫沖擊韌性優良等特性。力學性能見表1。
| σb/MPa | σ0.2/MPa | δs/% | ψ% |
|---|---|---|---|
|
1080
|
950
|
18.0
|
58.0
|
文獻給出了 40Cr 鋼光滑試樣在 105~1010 循環周次范圍內的疲勞壽命(S-N)曲線,如圖 4 所示。

圖4 40Cr鋼S-N曲線
在 105~108周次范圍內,疲勞曲線可用 Basquin 方程式描述:

式中σa——疲勞載荷應力幅;
Nf——σa作用下發生疲勞破壞時的載荷循環周次;
σ'f——疲勞強度系數;
b——疲勞強度指數或 Basquin 指數。
將實驗結果擬合得到 40Cr 鋼 S-N 曲線的 Basquin 方程為:
σa﹣¹=2431×(2Nf)-0.0998 (2)
式中 σa﹣¹——對稱循環疲勞載荷應力幅。
在對稱循環條件下:
σ-1=σa﹣¹ (3)
式中 σ-1——對稱循環極限應力。
把式(3)代入式(2)得到 40Cr 鋼的對稱循環極限應力與該應力下發生疲勞破壞時的循環周次之間的關系式:
σ-1=2431×(2Nf)-0.0998 (4)
由式(4)可得 40Cr 鋼試樣條件疲勞極限壽命圖,如圖5所示。

圖 5 條件疲勞極限壽命圖
3 泵閥疲勞壽命曲線
Peterson 根據大量的實驗數據,得到在蠕變溫度以下,描述承受交變載荷機械零件的交變應力幅、平均應力與材料機械性能關系的方程:

式中 σa——交變應力幅;
σm——平均應力;
σb——材料抗拉強度。
材料在不同對稱循環極限應力作用下,都有σm=0,代入式(5)得:σa=σ-1,符合對稱循環應力的特性。在脈動循環條件下,脈動循環極限應力 σ0與脈動循環疲勞載荷應力幅 σa0、平均應力 σm之間關系式為:

代入式(5)中可得材料在同一壽命下所對應的脈動循環極限應力與對稱循環極限應力的關系式為:

式中 σ0——脈動循環極限應力。
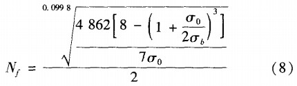
由式(4)與式(7)可得材料發生疲勞破壞時的循環周次與對應的脈動循環極限應力的關系式:

從而得到泵閥在脈動循環應力作用下的疲勞壽命曲線,如圖6。

圖 6 泵閥疲勞壽命圖
4 泵閥壽命分析
閥盤在沖擊閥座的過程中,所承受最大局部集中0.955×109Pa。根據泵閥疲勞壽命曲線,對應的脈動循環周次為 2.1×105,即泵閥的使用壽命約為 25h~30h。由于以上簡化模型求解時忽略了實際工況中存在的兩個因素,因此得出的結果與實際泵閥壽命可能略有出入,F對這兩因素分析如下:
一方面,在泵閥關閉階段簡化模型和泵閥沖擊過程有限元動力學模型中認為,閥盤在高度 5.6mm處,由于強大壓力推動快速下落,從而完全忽略水力摩阻和導軌摩阻。在此階段閥盤受力平衡方程中,由于阻力忽略,求出閥盤下落時的速度與加速度比實際情況下的速度與加速度大。在實際工況下,閥盤從最高位置到與閥座接觸,時間極短。閥盤運動下方的液體受到壓縮變得相對稠密(密度增大),而閥盤上方的液體又會變得相對稀。芏葴p小),液體會由稠密的地方向稀薄的地方流動,由于快速運動的閥盤上方產生了液體稀薄區域,閥盤下方的液體就會極力繞過閥盤向閥盤上方流動,并帶動四周的液體快速填補這一區域,這樣便形成了流體渦旋。有渦旋的地方液體運動加速,壓強會進一步減小,因此,對于快速運動的閥盤,下方受到的液體壓強遠遠大于上方渦旋處的壓強,上下壓強差對閥盤產生了一個向上的阻力,這個阻力跟渦旋有關,定義為渦旋阻力。在流體中運動的閥盤所受的阻力包括摩擦阻力和渦旋阻力,渦旋阻力要比摩擦阻力大得多,所以在求解時不叮忽略。
另一方面,在 ANSYS 模擬時也并未考慮密封圈的緩沖作用。密封圈工作錐面的錐度一般與閥盤(或閥座)錐度相同,而且前者突出于閥盤錐面以外。這樣當閥盤下落時,密封圈首先與閥座接觸,對閥盤與閥座金屬面之間產生的剛性接觸起緩沖作用。同時,由于密封圈首先與閥座接觸,在閥盤與閥座之間密封液體,這樣在閥盤與閥座金屬尚未接觸之前便在金屬間形成“液墊”,從而可以減少閥最后關閉時的沖擊。
綜上分析可知,模擬求出的集中應力與實際有一定差距。為了使結果更接近于實際數據,可在該模型求出的應力基礎上,再乘一個考慮實際阻力和緩沖的折減系數,該系數可通過實驗測量得出。假設阻力折減系數為φf,緩沖折減系數為φt,則總折減系數φ=φf×φt,實際應力σ=φ×σˊ(σˊ為理論應力),然后參照泵閥疲勞壽命圖,可以求得泵閥的使用壽命。需要強調的是,用理論應力得出的泵閥壽命具有一定的安全余量,可以為現場人員及時更換泵閥提供參考。
5 泵閥的改進措施
從圖 2 上可以看到閥盤下錐角部位呈現出最大應力區域。原因主要是閥盤與閥座沖擊閉合時,閥盤錐面與閥座接觸,承受沖擊載荷,在錐面 與閥盤底部過渡處結構尺寸急劇變化產生應力集中。應力集中使局部區域的應力值超過了材料按預定壽命所能承受的應力水平,由此萌生裂紋。疲勞源系在應力集中較大的尖角根部萌生,并向芯部擴展,所以泵閥主要從錐角與閥盤底部改進。在泵閥其它結構及性能不變的情形下,為了減少應力集中,底面設計為圓弧型,并與錐面采用圓滑過渡(此時圓弧半徑為 88.54mm)。泵閥改進前后的零件圖如圖 6 所示。
對改進后的泵閥做 ANSYS/LS—DYNA 三維動態模擬分析,建立模型,剖視圖如圖 7。

圖 7 泵閥改進前后結構圖
得到閥盤在閉合階段產生最大局部應力時的應力分布圖,如圖 8。

圖 8 改進后泵閥三維模型剖視圖
由圖 8 可知,最大局部應力出現在錐角偏上方,為 0.834×109Pa,比原來泵閥承受的最大應力 0.955×109Pa 減小了 12.67%。將求出的應力代入泵閥疲勞壽命圖 6,得到泵閥的壽命為 210h~320h。結構改進后,泵閥的壽命大大提高。
此外,改進后的閥體在流體中運動時還能有效地減小水力摩阻,減緩流體中磨礪性物質對底部及錐面的沖蝕磨損,閥盤落在閥座上時的密封效果也有所改善。
6 結論
(1)利用 ANSYS/LS—DYNA 軟件對閥盤沖擊閥座做三維實體動態模擬,得到沖擊過程中泵閥產生最大局部應力時的應力分布圖,分析閥盤下錐角處應力集中的受力形式與程度。
(2)針對鉆井泵閥的沖擊疲勞破壞,通過分析泵閥材料在對稱循環應力下的條件疲勞極限,得到泵閥在脈動循環載荷作用下的疲勞壽命曲線。依據此曲線,校核由泵閥關閉階段簡化模型和泵閥沖擊過程有限元動力學模型求出的最大集中應力,估算泵閥的使用壽命。
(3)提出一種可降低應力集中的泵閥結構改進方案,從根本上減緩泵閥的沖擊疲勞破壞,對指導泵閥設計,進一步延長泵閥的使用壽命有一定的參考價值。